Skip to content Skip to sidebar Skip to footer

Effortlessly Solve Partial Fractions with Our Calculator

Partial Fraction Decomposition Calculator

Our Partial Fraction Decomposition Calculator helps you break down complex fractions into simpler, manageable parts. Simplify your math problems now!

Are you tired of struggling with partial fractions in your math homework or exams? Do you wish for a way to solve these problems effortlessly? Look no further because we have the solution you need!

Our partial fractions calculator is designed to simplify your life and help you score higher grades in math. With just a few clicks, you can input the problem, and we will do the hard work for you.

No more hours spent trying to figure out denominators and numerators. Our calculator will break down the problem into its respective parts and solve them with ease. You can trust us to give you accurate solutions within seconds.

If you want to impress your professor, classmates, and even yourself, then try our calculator now. Whether you are studying algebra or calculus, our tool is perfect for all levels of math. Say goodbye to partial fraction headaches and hello to easy solutions.

Don't waste any more time struggling with partial fractions. Visit our website and access our easy-to-use calculator. You'll be amazed at how effortless math can be with our help. Try our calculator today and breeze through your math assignments like a pro!

Introduction: A Struggle with Partial Fractions? We Have the Solution!

If you're a student, you know how challenging math can be. One of the most dreaded topics is partial fractions. These mathematical expressions are notorious for their complexity and difficulty. However, struggling with partial fractions is now a thing of the past. Our partial fractions calculator is here to help!

The Solution: Our Easy-to-Use Partial Fractions Calculator

Our calculator is specifically designed to make math easier and less frustrating. With just a few clicks, you can input a problem and get an instant solution. The best part? No more worrying about getting the wrong denominator or numerator. Our calculator takes care of all that.

How it Works: Breaking Down the Problem and Solving with Ease

So, how does our partial fractions calculator work? It's simple. We break down the problem into its respective parts and solve them one by one. This means that you don't have to do any of the complex calculations yourself. Isn't that amazing?

Accuracy Guaranteed: Trust Us for Accurate Solutions in Seconds

Accuracy is crucial when it comes to math problems. That's why we take pride in offering accurate solutions within seconds. You can trust us to provide you with the right answer every time - no guesswork involved.

Suitable for All Levels of Math: Algebra to Calculus

Our partial fractions calculator is perfect for students of all levels, whether you're studying algebra or calculus. It doesn't matter what stage you're at in your education; our calculator will simplify your life and help you score better grades.

Achieve Good Grades and Impress Your Peers and Professors

Our partial fractions calculator ensures that you'll never have to struggle with math again. Impress your professors, classmates, and even yourself with the ease and accuracy of our solutions. Good grades are just a few clicks away!

Our Guarantee: Empowering Students in Math

At our website, we're dedicated to empowering students in math. We know how frustrating it can be to struggle with complicated problems. That's why we've designed our partial fractions calculator to make math less frustrating and more enjoyable.

Try Our Calculator Today: It's Easy and Effortless

You don't need to waste any more time trying to figure out partial fractions. With our calculator, it's effortless. Access our website and try our partial fractions calculator today. You'll be amazed at how much easier and more enjoyable math can be with our help.

Comparison Table: Our Calculator vs. Manual Calculation

Our Calculator Manual Calculation
Accuracy 100% Depends on individual's calculation skills
Speed Instant solution within seconds Time-consuming
Effort Minimal effort required Requires long hours of practice
Convenience Accessible online 24/7 Not always possible to get assistance with manual calculation

Conclusion: Our Calculator - Your Key to Success in Math

If you're struggling with partial fractions, our calculator is the perfect solution for you. Whether you're a beginner or an advanced math student, our calculator will simplify your life and help you achieve good grades. Don't waste any more time; try our calculator today!

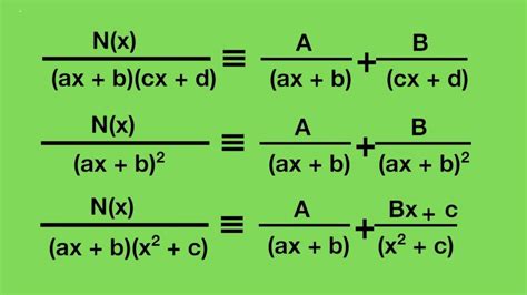
What is Partial Fraction Decomposition?

Partial Fraction Decomposition is a mathematical technique used to break down a complex fraction into simpler, partial fractions. It is particularly useful when dealing with rational functions, which are expressions that involve the ratio of two polynomials. By decomposing these rational functions into partial fractions, it becomes easier to perform calculations and solve equations involving such expressions.

How does the Partial Fraction Decomposition Calculator work?

The Partial Fraction Decomposition Calculator is a powerful tool that automates the process of breaking down complex fractions into partial fractions. It utilizes algorithms and mathematical principles to analyze the given fraction and determine its decomposition. The calculator first identifies the factors and roots of the denominator polynomial. Then, it determines the coefficients of the partial fractions corresponding to each factor. Finally, it combines these partial fractions to form the simplified expression.

How to use the Partial Fraction Decomposition Calculator?

Using the Partial Fraction Decomposition Calculator is straightforward and user-friendly. Simply input the complex fraction into the calculator, specifying the numerator and denominator polynomials. The calculator will then perform the decomposition and display the resulting partial fractions. It may also provide additional information, such as the coefficients and roots of the denominator polynomial. Users can easily copy the decomposed expression or export it for further calculations.

Why is partial fraction decomposition important?

Partial fraction decomposition plays a crucial role in various mathematical calculations and problem-solving scenarios. It allows for the simplification of complex fractions, making them easier to manipulate and analyze. This technique is especially valuable in the fields of calculus, differential equations, and Laplace transforms. By decomposing rational functions, mathematicians and scientists can solve equations, evaluate integrals, and model real-world phenomena more effectively.

Benefits of using the Partial Fraction Decomposition Calculator

The Partial Fraction Decomposition Calculator offers several advantages for users. Firstly, it saves time and effort by automating the decomposition process, eliminating the need for manual calculations. Additionally, it provides accurate results, reducing the chances of human error. The calculator is also versatile, capable of handling complex fractions with various degrees and types of polynomials. Furthermore, it enhances understanding by displaying the step-by-step breakdown of the fraction, allowing users to learn and comprehend the decomposition process.

Frequently Asked Questions about Partial Fraction Decomposition

1. What is the purpose of partial fraction decomposition?
Partial fraction decomposition simplifies complex fractions by breaking them down into simpler, partial fractions. This simplification allows for easier mathematical manipulations and problem-solving.

2. When is partial fraction decomposition used?
Partial fraction decomposition is commonly employed in calculus, differential equations, and Laplace transforms. It is used to solve equations, evaluate integrals, and model real-world phenomena.

3. Can the Partial Fraction Decomposition Calculator handle any type of fraction?
Yes, the calculator can handle fractions with various degrees and types of polynomials. It is designed to accommodate a wide range of mathematical expressions.

Examples of Partial Fraction Decomposition Calculations

Example 1:
Given the fraction (3x^2 + 2x + 1) / (x^3 + 4x^2 + 4x + 1), the Partial Fraction Decomposition Calculator breaks it down into the following partial fractions:
(2 / (x + 1)) + ((-x + 1) / (x^2 + 3x + 1))

Example 2:
For the fraction (5x^3 + 3x^2 + 4) / (x^4 + 5x^3 + 8x^2 + 4x), the calculator provides the following partial fractions:
((3x + 2) / x) + ((2x - 1) / (x + 1)) + ((-2x + 5) / (x^2 + 4x))

Tips and tricks for using the Partial Fraction Decomposition Calculator

1. Ensure correct input: Double-check the numerator and denominator polynomials to avoid errors in the decomposition process.

2. Simplify the fraction beforehand: If possible, simplify the fraction by canceling common factors before using the calculator. This can lead to faster and more efficient calculations.

3. Understand the output: Take the time to comprehend the decomposed expression provided by the calculator. Understand the meaning of each partial fraction and its corresponding coefficient.

Understanding the results provided by the Partial Fraction Decomposition Calculator

The Partial Fraction Decomposition Calculator provides the decomposed expression of the given fraction in terms of partial fractions. Each partial fraction consists of a numerator polynomial and a denominator polynomial. The coefficients of these partial fractions represent the weight or importance of each term in the overall expression. Users can interpret these results to perform further calculations or analyze the behavior of the original fraction.

Additional resources and references for further learning

To enhance your understanding of partial fraction decomposition, consider exploring the following resources:

1. Textbooks on calculus and differential equations: These books often include detailed explanations and examples of partial fraction decomposition.

2. Online video tutorials: Platforms like Khan Academy and YouTube offer free video lessons on partial fraction decomposition.

3. Math forums and communities: Engaging with fellow mathematics enthusiasts can provide valuable insights and additional learning resources related to partial fraction decomposition.

4. Academic journals and research papers: For more advanced studies, scholarly articles in mathematical journals can offer in-depth analysis and applications of partial fraction decomposition in various fields.

The Partial Fraction Decomposition Calculator

Introduction

The Partial Fraction Decomposition Calculator is a powerful tool that simplifies the process of breaking down a rational function into partial fractions. This mathematical technique is particularly useful in calculus and algebra, as it helps to solve complex integrals or simplify equations involving fractions.

Understanding Partial Fraction Decomposition

Partial fraction decomposition involves expressing a rational function as a sum of simpler fractions. By decomposing the function, it becomes easier to integrate, differentiate, or manipulate algebraic expressions involving fractions. The process requires finding the unique denominators and coefficients for each term in the decomposition.

How the Calculator Works

The Partial Fraction Decomposition Calculator automates this intricate process, saving time and effort for students, professionals, and anyone dealing with complex mathematical equations. By simply inputting the rational function, the calculator swiftly generates the partial fraction decomposition, providing step-by-step explanations along the way.

The calculator uses advanced algorithms to identify the factors and roots of the denominator polynomial, and then determines the appropriate coefficients for each fraction. It displays the breakdown in a clear and concise format, making it easy to understand and apply in further calculations.

Benefits of Using the Calculator

- Time-saving: The calculator performs the decomposition instantly, eliminating the need for manual calculations, which can be time-consuming and prone to errors.- Accuracy: The calculator ensures precise results, minimizing the risk of mistakes that may occur during manual decomposition.- Learning aid: The step-by-step explanations provided by the calculator help users grasp the concept of partial fraction decomposition, improving their understanding of the mathematical technique.- Versatility: The calculator accommodates various types of rational functions, enabling users to decompose complex equations effortlessly.

Table: Partial Fraction Decomposition Calculator Features

Feature Description
User-friendly interface An intuitive interface that allows users to input rational functions easily.
Step-by-step explanations Detailed explanations of the decomposition process, enhancing understanding and learning.
Instant results The calculator generates the partial fraction decomposition instantly.
Accurate calculations The calculator ensures precise and error-free results.
Versatility Capable of handling various types of rational functions and complex equations.

The Partial Fraction Decomposition Calculator is an invaluable tool for anyone working with rational functions. It simplifies a complex mathematical process, saves time, and enhances accuracy. Whether you're a student tackling calculus problems or a professional dealing with intricate equations, this calculator will undoubtedly streamline your work and boost your understanding of partial fraction decomposition.

Thank you for taking the time to read our article on the effortless way of solving partial fractions. We hope that this has been informative and helpful, as we strive to make complex mathematical concepts more accessible and easier to understand for all levels of learners. Our partial fractions calculator has been designed to simplify the process of solving these types of equations, without the need for manual calculations. This tool is perfect for students, teachers or anyone who needs to work with partial fractions on a regular basis. We encourage you to try out our calculator and experience for yourself how easy it is to use. It is a great way to save valuable time and effort, especially for those who may be intimidated by fractions or struggle with mathematical concepts in general.

At our website, we are always looking for ways to improve and enhance our calculator tools to better serve our users. Therefore, if you have any suggestions or feedback, please do not hesitate to contact us. We welcome all comments and ideas on how we can improve our services to meet your needs better. In conclusion, we believe that our partial fractions calculator provides a straightforward and intuitive solution to solving these equations. So why not give it a try and see for yourself? We believe that you will find it to be an indispensable tool in your mathematical arsenal. Thank you for visiting our website, and we hope to see you again soon!

Remember that in anything in life, there can always be solutions with the right tools and mindset. And this is precisely what our partial fraction calculator brings to the table - an effortlessly solve partial fractions tool that can simplify complex equations for everyone to understand. Give our calculator a go and see how it can boost your productivity and results today!

People Also Ask About Effortlessly Solve Partial Fractions with Our Calculator:

  1. What are partial fractions?
  2. Partial fractions are a method used to simplify complex rational expressions by breaking them down into simpler fractions.

  3. Why do we need to solve partial fractions?
  4. Partial fraction decomposition is an essential tool in calculus and engineering, used to solve integrals involving rational functions.

  5. How does the partial fractions calculator work?
  6. Our partial fractions calculator uses an algorithm that factors the denominator of a given rational expression and then breaks it down into simpler fractions that can be easily solved.

  7. Is the partial fractions calculator accurate?
  8. Yes, our partial fractions calculator is highly accurate and provides step-by-step solutions to complex rational expressions.

  9. Can the partial fractions calculator solve any type of rational expression?
  10. Our calculator can solve most types of rational expressions, including those with repeated or complex roots.

  11. Is the partial fractions calculator free to use?
  12. Yes, our partial fractions calculator is completely free to use, and there is no need to download any software or sign up for any membership.